Skip to content
Terus Hijaukan Negeri
  • Dashboard
  • All Posting
  • Produksi
  • Sosial
  • Lingkungan
  • Testimoni
  • Hot Issue
  • Kebijakan
  • News
Posted On September 12, 2025

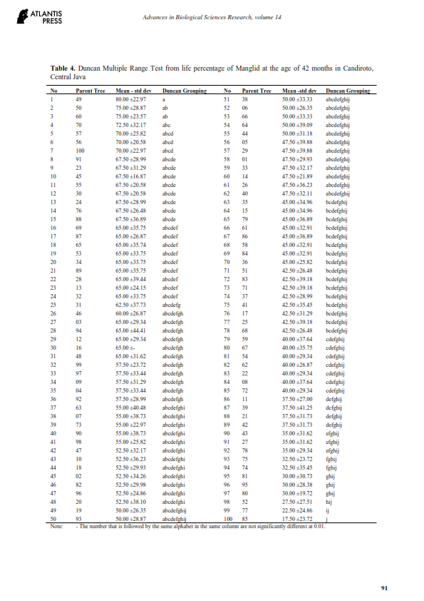
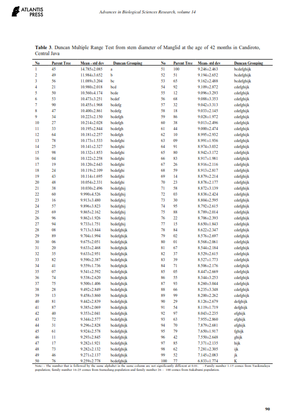
THE MANGLID (MANGLIETIA GLAUCA BL) GROWTH VARIATIONS AT AGE OF 42 MONTHS IN CANDIROTO TEMANGGUNG CENTRAL JAVA

EMI RI 0 comments
Terus Hijaukan Negeri >> Blog >> THE MANGLID (MANGLIETIA GLAUCA BL) GROWTH VARIATIONS AT AGE OF 42 MONTHS IN CANDIROTO TEMANGGUNG CENTRAL JAVA
September 12, 2025September 12, 2025 EMI RIEMI RI 0 Comments
Categories:
  • Blog

Leave a Reply Cancel reply

Your email address will not be published. Required fields are marked *

Recent Posts

  • GROWTH COMPARISON AND FINANCIAL ANALYSIS OF CLONAL TEAK PLANTATION ESTABLISHED BY THE SHOOT CUTTING AND COPPICES IN PERHUTANI FOREST MANAGEMENT UNIT NGAWI, EAST JAVA, INDONESIA
  • OPTIMASI KADAR ALPHA PINENE MINYAK TERPENTIN DARI GETAH PINUS MERKUSII
  • CLONAL TEAK PLANTATION FOR SUSTAINABLE MANAGEMENT OF MONSOON FOREST INDONESIA
  • PENGEMBANGAN BISNIS KEBUN DURIAN DENGAN SISTEM KANAL
  • KAJIAN METODE PENGUKURAN DIAMETER KAYU BUNDAR MENGGUNAKAN PITA UKUR (METODE CROSS) DAN PHI BAND

Recent Comments

  1. A WordPress Commenter on Hello world!

Green Farm WordPress Theme By WP Elemento

Proudly powered by WordPress